The U.S. electric power industry has begun to make progress deploying renewable power to reduce its carbon footprint. A second bright area of decarbonization is that consumers of electric power, ranging from corporate goliaths like Google to single residences, have begun to contract for 100% renewable power. Companies can now go green by contract, if their energy use is electricity.
A harder nut to crack is how to provide process heat from zero-emission sources. Industrial plants, in many cases, use copious amounts of energy in the form of heat to drive processes. Just think of all the exhaust stacks at an oil refinery. Presume plant owners want to go green. How should they do it? Two factors make this problem more difficult than renewable electricity. First, the heavy hitters for renewable generation, i.e. hydropower, wind power, and solar PV power, do not make heat. Second, thermal energy is not transported cheaply.
This post takes a quick look at using a high-temperature heat pump to generate heat for an industrial process. The company would contract for renewable electric power and then use it to drive this heat pump.
Let’s consider the case of providing zero-emissions heat to crude oil in a distillation column at an oil refinery and see what the options are. Assume we want a heat addition of 10MWth at 400°C. (400°C is from Gary et al. 10MWth is a round number.) Let’s assume a refinery that is located on the water for ship access and is located in a city to serve a customer base. It is connected to a gas pipeline and to a robust electric grid, and it has only small pieces of available land on site.
Table 1 lists nine options for heat additions, although there are more. This post is going to cut to the chase and look at Options 1 and 2. The electricity options feature the advantage that the facility can contract for renewable, off-site power and can use existing power lines to bring it into the facility. These options do not create any new flow of fuel to the facility or new waste stream from the facility. Concentrated solar thermal with molten salt storage can work, but land is not available for a solar field in this coastal refinery case. Gasifying municipal solid waste into fuel gas is an emerging technology that uses a fuel people pay to get rid of. This option deserves attention but is out of scope for me today.

Option #1 Renewable Electricity, Resistance Heating
Option #1 is to contract for renewable electricity and then to use the electricity to directly heat the process stream, in this case crude oil. This would be similar to an electric water heater where an electric current passes through a heating element that is submerged in the process fluid. The capital cost is low since heat flux to the crude oil can be relatively high. This is also very energy efficient, say 95%. So, if 10MWth of heat are needed, 10.5MWe of electricity is used. The key issue is that electricity is expensive.
Option #2 Renewable Electricity, Heat Pump
This option is to use a Brayton cycle heat pump to convert electricity plus a low-temperature heat into high-temperature heat.
First, a heat pump is a thermodynamic process where mechanical power is used to drive heat from a cold source to a hot sink. It is the same overall concept as a refrigeration cycle. In a refrigerator, electricity drives a compressor in a thermodynamic cycle that transfers heat from the cold contents inside and dissipates it into the room air via the coils on the back of the refrigerator. Whereas a refrigerator focuses on the cold side, a heat pump focuses on the hot side. As another example, a residential heat pump water heater uses electricity to drive a cycle where heat is pulled from the room air and used to heat water. Rheem’s Hybrid Electric water heater uses 80% less electricity than a comparable Electric one.
A heat pump does the reverse of a thermal power generation cycle, which uses heat flow from a high temperature source to a low temperature sink to generate mechanical power, typically to generate electricity. Thermodynamic cycle design for power generation and also existing turbomachinery may inspire heat pump cycle design.
Concept
Reviewing, the goal here is to generate 10MWth of heat at 400°C for an oil refinery application. Electricity is to be used at minimum cost.
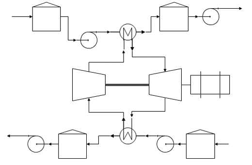
A large electric motor drives a compressor-turbine package that circulates nitrogen in a closed loop. Nitrogen is compressed from 4bar to 32bar by the compressor, which causes it to substantially increase in temperature. Next, the nitrogen passes through a heat exchanger and heats a molten salt. The cooled nitrogen then passes through a turbine, which recovers energy from it as its pressure and temperature fall. Before returning to the compressor, the nitrogen passes through another heat exchanger, which heats it, drawing heat from cooling water flow. The cycle is diagrammed in Figure 1 and cycle parameters and assumptions are listed in Table 2 and in Table 3. The motor, turbine, compressor, and two heat exchangers may all fit in a 40’ container.



Molten salt is used as the heat transfer fluid to transfer heat from the nitrogen loop to the refinery process. Specifically, Coastal’s HITEC heat transfer salt (40% NaNO2, 7% NaNO3, 53% KNO3) would be a good candidate. It has a useful temperature range of 149°C to 538°C, and plain carbon steel can be used with it up to 454°C. Molten salt piping does need electric heat tracing to avoid freezing. The optional two-tank thermal storage system allows heat to be delivered to the process at a constant rate while the heat pump can be turned on and off according to time-of-day electricity pricing and peak demand charges.
The heat pump uses cooling water to heat the nitrogen loop from one of the many processes that needs cooling at the refinery. That the heat pump needs a low-temperature heat input means that it can add to the cooling capacity on site at the refinery and can marginally reduce the cooling water demand of the refinery. A two-tank thermal storage system is proposed here too to decouple the heat pump duty cycle versus the demand for water from the process.
In this 10MWth example, approximately 30% less electricity is needed versus resistance heating. The heat pump makes a small contribution to the facility’s cooling system too.
Two points that can improve performance are 1) using turbomachinery that exceed the assumed efficiencies and 2) using a higher-temperature heat input. The heat input is specified as it is to keep the heat transfer fluid temperatures in the range of liquid water at atmospheric pressure. Allowing the temperature at point 8 in Figure 1 to rise above 100°C would reduce electricity consumption. This however means that a heat transfer oil would need to be used instead of water on the cold side of the heat pump. In a second scenario, suppose the polytropic efficiencies of the compressor and turbine are increased from 0.85 to 0.9. Suppose also that the pressure ratio is reduced to 6.5 from 8 and that the cold fluid at point 8 is 124°C. The COP rises to 1.73, and the electricity required falls to 5.8MWe, so about 45% lower than resistance heating.
Another variation for the system is to use argon instead of nitrogen. This allows a substantial reduction in the pressure ratio for the compressor and turbine. However, it also means a substantial increase in the mass flow rate of the working fluid in the loop. Gas turbines are generally designed for air so using nitrogen would be more familiar for existing turbines.
A quick look at this high-temperature heat pump suggests it can substantially reduce the electricity required to heat a high-temperature industrial process compared with resistance heating. Of course, the machinery will cost some upfront capital, and substantial process optimization will be required. Nevertheless, if a process plant were to contract for renewable electricity, this might be an economic way to minimize the cost of this purchased electricity.
Inspiration: Laughlin Cycle
The heat pump cycle proposed here is roughly inspired by an energy storage concept designed by a Stanford professor named Robert Laughlin. Laughlin’s design uses a Brayton-cycle heat pump to take electricity from the grid to simultaneously heat a high-temperature liquid and to chill a low-temperature liquid during its charge cycle. Each of these liquids is stored in large tanks until the plant is used to discharge energy. Upon discharge, it uses the same turbomachinery to generate power from the high-temperature and low-temperature liquids. This concept has apparently been used as the technical basis for the company Malta Inc., a Google X spin-out. I am not aware of what they are doing, beyond public information.